Ответы
Ответ дал:
0
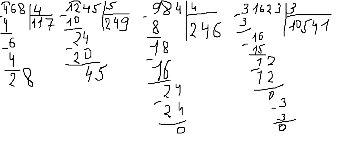
1) 468 : 4 = 117
2) 1245 : 5 = 249
3) 984 : 4 = 246
4) 31623 : 3 = 10541
5) 7245 : 5 = 1149
Вот фото тут решено!
Приложения:

Вас заинтересует
2 года назад
7 лет назад
7 лет назад
10 лет назад
10 лет назад
10 лет назад