• Предмет: Математика
  • Автор: andruj
  • Вопрос задан 11 лет назад

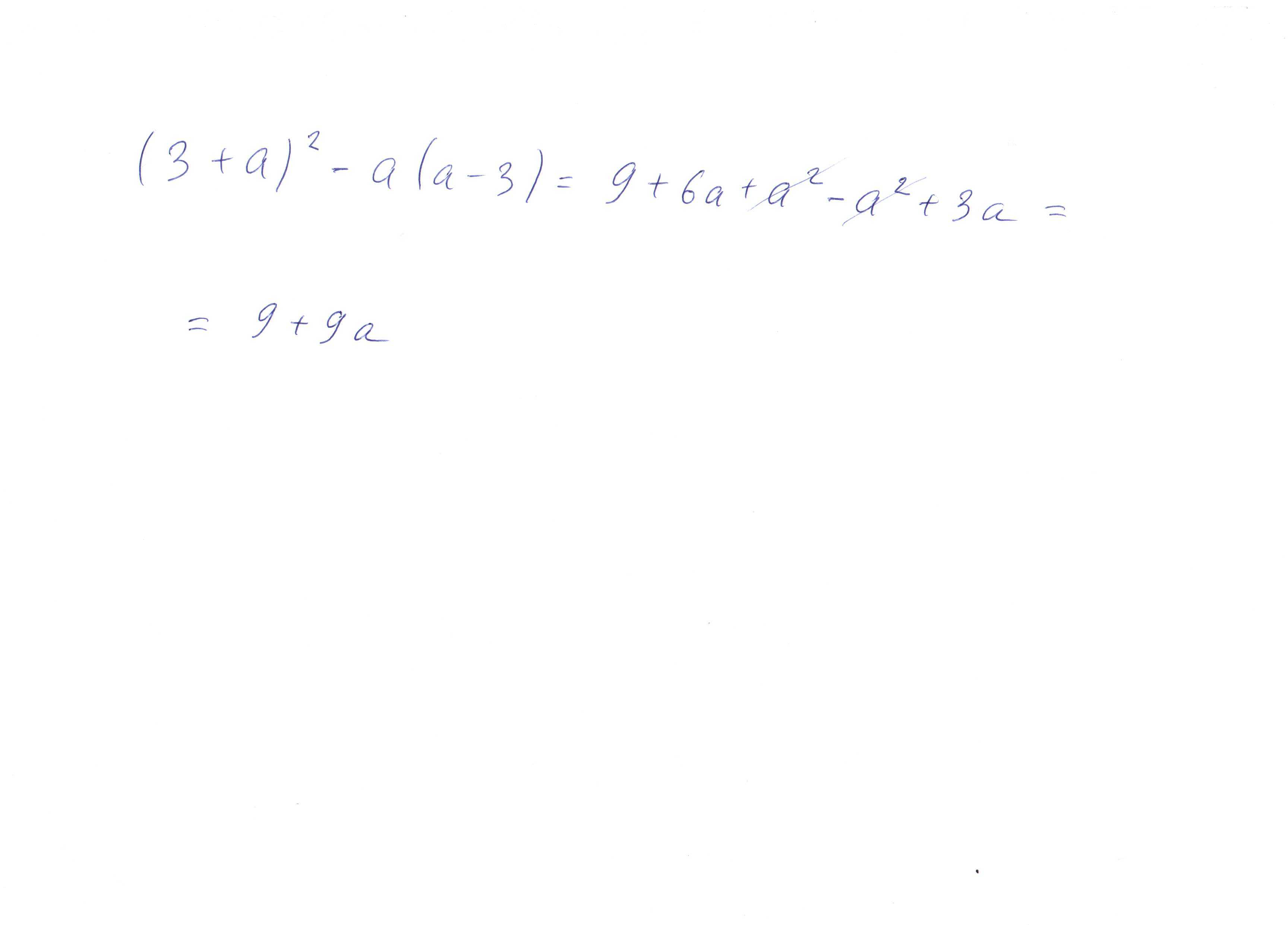
Упростите выражение (3+a)^2-a(a-3) и найдите его значение при a=-1/9 ПОЖАЛУЙСТА ПОМОГИТЕ СРОЧНО НАДО !!!

Ответы

Ответ дал: vvv0022
0

Смотри вложение.......................................................

Теперь подставляем а=-1/9

9+9*(-1/9)=9-1=8

 

Ответ:  8

Приложения:
Ответ дал: Юляша127
0

 (3+a)^2-a(a-3) = 9(а+1)

 

1)  (3+a)^2 = 9+6а+а^2

2)-а^2+3а

3) 9+6а+а^2-а^2+3а=9а+9=9(а+1)

Приложения:
Вас заинтересует