пожалуйста помогите решить предел
Lim=sin6x/tg5x при х стремящемся к
нулю Не используя правило лопиталя
Ответы
Ответ дал:
0
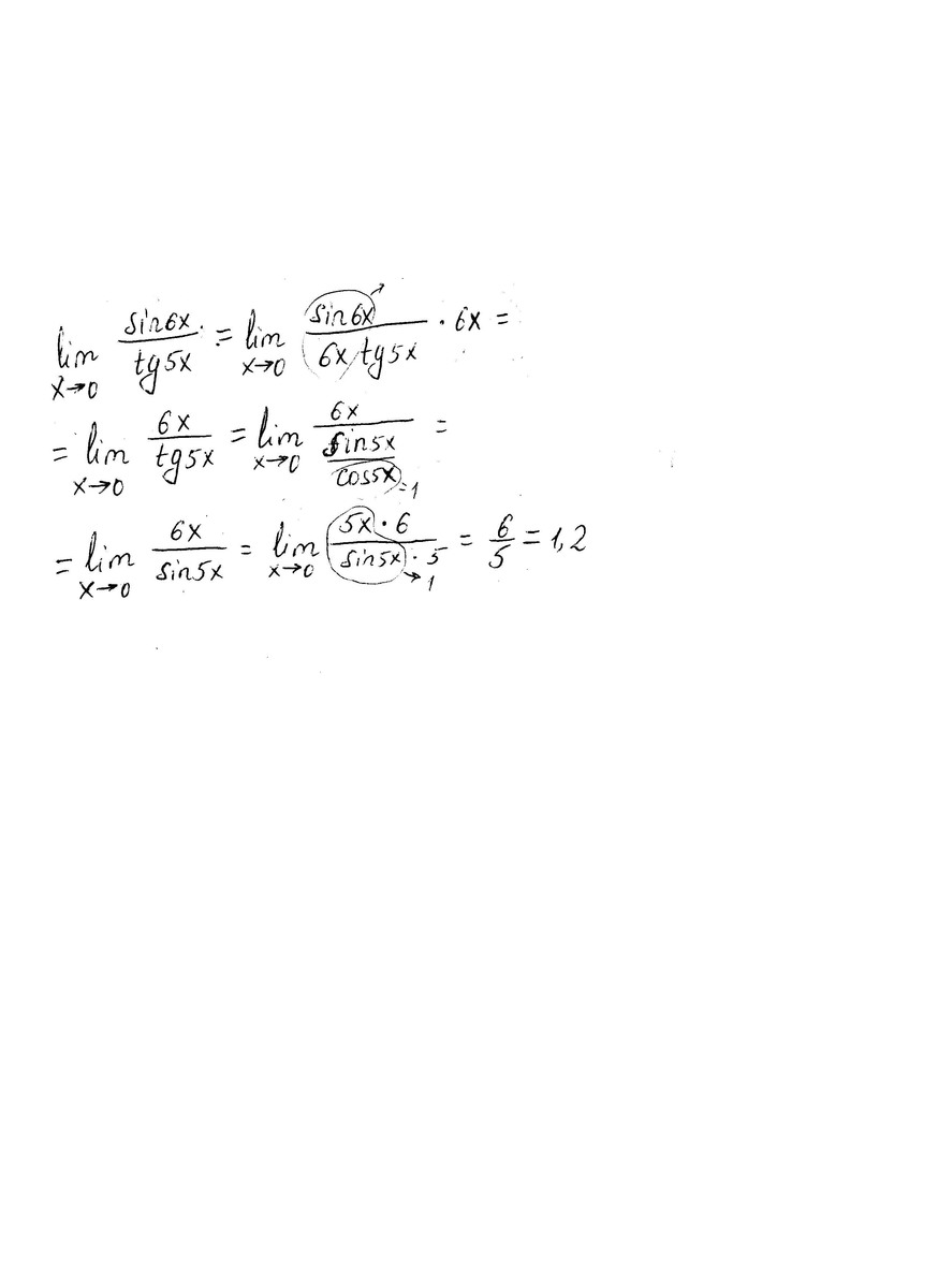
Решение в приложении. Должно быть понятно.
Приложения:

Ответ дал:
0
спасибо
Вас заинтересует
2 года назад
2 года назад
7 лет назад
10 лет назад
10 лет назад
10 лет назад