Ответы
Ответ дал:
0
1)
√х-2√3-1=√3-1
(√х-2√3-1)²=(√3-1)²
х-2√3-1=3-2√3+1
х-1=4
х=5
Ответ:5
2)
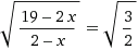
√(19-2х)/(2-х)=√3/2
(√(19-2х)/(2-х))²=(√3/2)²
19-2х = 3
2-х 2
2(19-2х)=3(2-х)
38-4х=6-3х
-х=-32
х=32
Ответ:32
3)
√х+√16-х=4
√16-х=4-√х
(√16-х)²=(4-√х)²
16-х=16-8√х+х
-2х=-8√х
4√х=х
(4√х)²=х²
16х=х²
х=16
Ответ:16
√х-2√3-1=√3-1
(√х-2√3-1)²=(√3-1)²
х-2√3-1=3-2√3+1
х-1=4
х=5
Ответ:5
2)
√(19-2х)/(2-х)=√3/2
(√(19-2х)/(2-х))²=(√3/2)²
19-2х = 3
2-х 2
2(19-2х)=3(2-х)
38-4х=6-3х
-х=-32
х=32
Ответ:32
3)
√х+√16-х=4
√16-х=4-√х
(√16-х)²=(4-√х)²
16-х=16-8√х+х
-2х=-8√х
4√х=х
(4√х)²=х²
16х=х²
х=16
Ответ:16
Ответ дал:
0
А можно еще ОДЗ?
Вас заинтересует
3 года назад
8 лет назад
10 лет назад
11 лет назад