Ответы
Ответ дал:
0
1) 8 - 7 = 1
2) 15 - 2 = 13
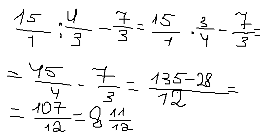
3)
2) 15 - 2 = 13
3)
Приложения:

Вас заинтересует
2 года назад
7 лет назад
7 лет назад
10 лет назад
10 лет назад
10 лет назад
10 лет назад