Ответы
Ответ дал:
0
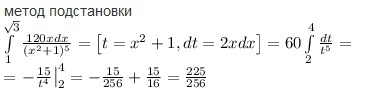
метод подстановки
![intlimits_1^{sqrt{3}} frac{120xdx}{(x^2+1)^5}=left[t=x^2+1, dt=2xdxright]=60intlimits_2^4 frac{dt}{t^5}= intlimits_1^{sqrt{3}} frac{120xdx}{(x^2+1)^5}=left[t=x^2+1, dt=2xdxright]=60intlimits_2^4 frac{dt}{t^5}=](https://tex.z-dn.net/?f=intlimits_1%5E%7Bsqrt%7B3%7D%7D++frac%7B120xdx%7D%7B%28x%5E2%2B1%29%5E5%7D%3Dleft%5Bt%3Dx%5E2%2B1%2C+dt%3D2xdxright%5D%3D60intlimits_2%5E4++frac%7Bdt%7D%7Bt%5E5%7D%3D)

Приложения:

Ответ дал:
0
почту напишите, отправлю туда
Ответ дал:
0
что то не выходит
Ответ дал:
0
давайте вы
Ответ дал:
0
обновите ответ
Ответ дал:
0
помоги с 20 заданиеи
Вас заинтересует
2 года назад
7 лет назад
7 лет назад
10 лет назад
10 лет назад
10 лет назад