ДОПОМОЖІТЬ БУДЬ ЛАСКА!!
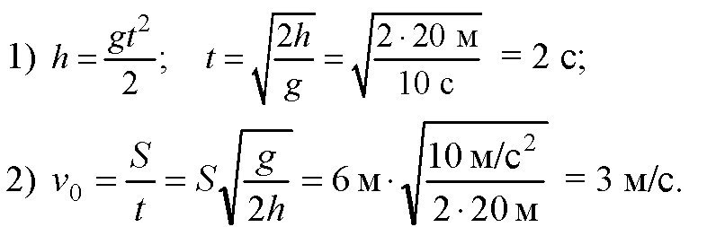
З якою швидкістю хлопчик кинув з вікна, розташованого на висоті 20м, м'яч у горизонтальному напрямку,якщо він упав на відстані 6м від фундаменту будинку?
Ответы
Ответ дал:
0
тут все пише )думаю ти все зрозумієш
Приложения:
Вас заинтересует
3 года назад
3 года назад
8 лет назад
8 лет назад
10 лет назад
10 лет назад
11 лет назад
11 лет назад