• Предмет: Алгебра
  • Автор: Zembed
  • Вопрос задан 10 лет назад

ДАЮ 20 БАЛЛОВ, ПОМОГИТЕ!
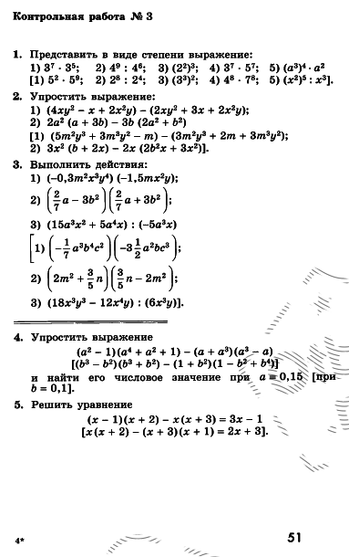
Решите 2 задание пожалуйста!

Приложения:

Ответы

Ответ дал: Juliaa21
0
а)4xy²-x+2x²y-2xy²-3x-2x²y=2xy²-4x=2x(y²-2)
б)2a³+6a²b-6a²b-3b³=2a³-3b³

Вас заинтересует