• Предмет: Алгебра
  • Автор: TETRIS24
  • Вопрос задан 10 лет назад

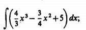
Найдите следующие интегралы
помогите с алгеброй распишите очень подробно в латеске.

Приложения:

Ответа на этот вопрос пока нет. Попробуйте найти его через форму поиска.

Вас заинтересует