• Предмет: Алгебра
  • Автор: KristinaKristina15
  • Вопрос задан 11 лет назад

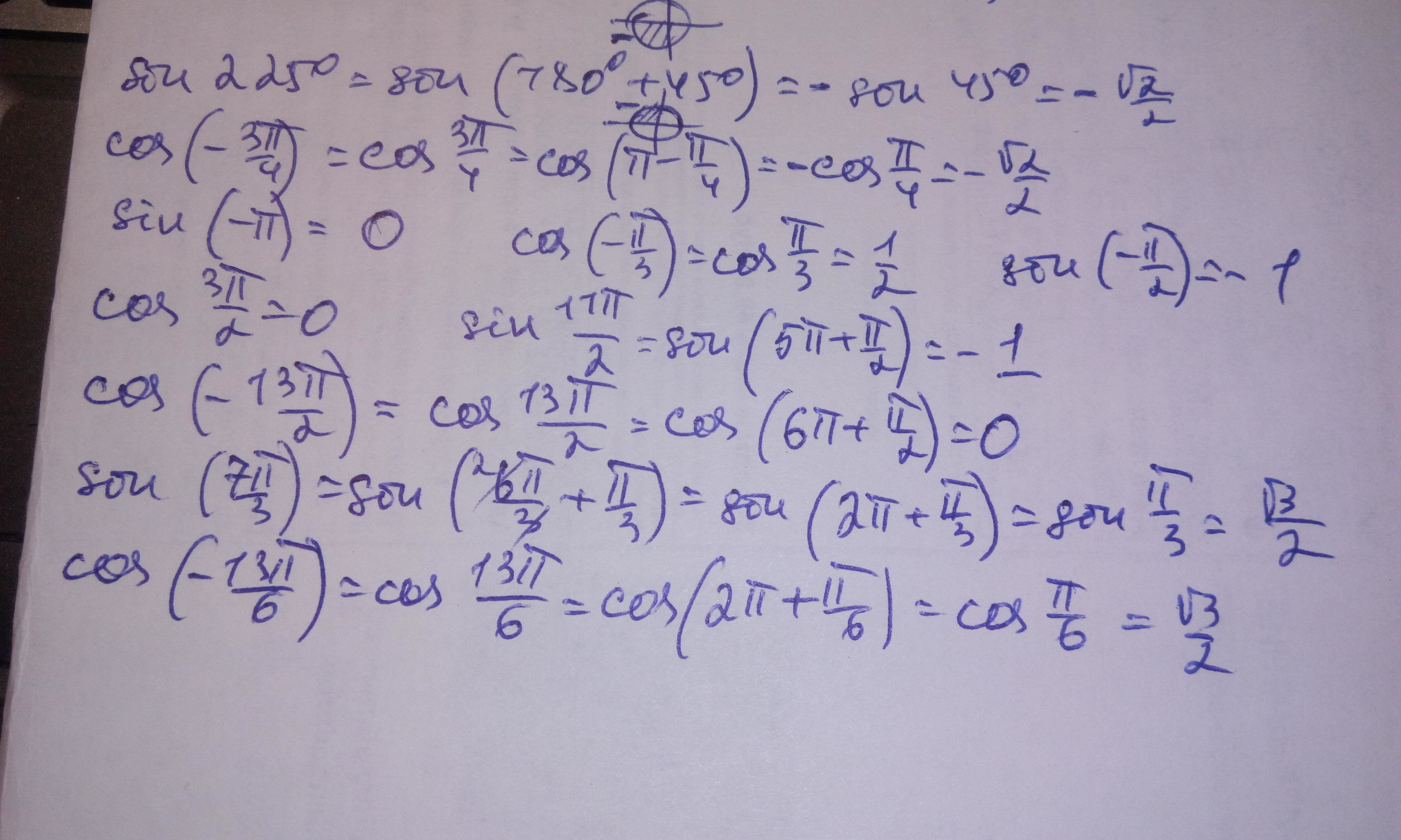
а) sin 225 градусов б) cos (-3П/4) в) sin (-П) г) cos (-П/3) д) sin (-П/2) е) cos 3П/2 ж) sin 11П/2 з) cos (-13П/2) и) sin 7П/3 г) cos (-13П/6)

Ответы

Ответ дал: irinan2014
0
Формулы приведения и табличные значения функций.
Приложения:
Вас заинтересует