• Предмет: Алгебра
  • Автор: Yana230600
  • Вопрос задан 10 лет назад

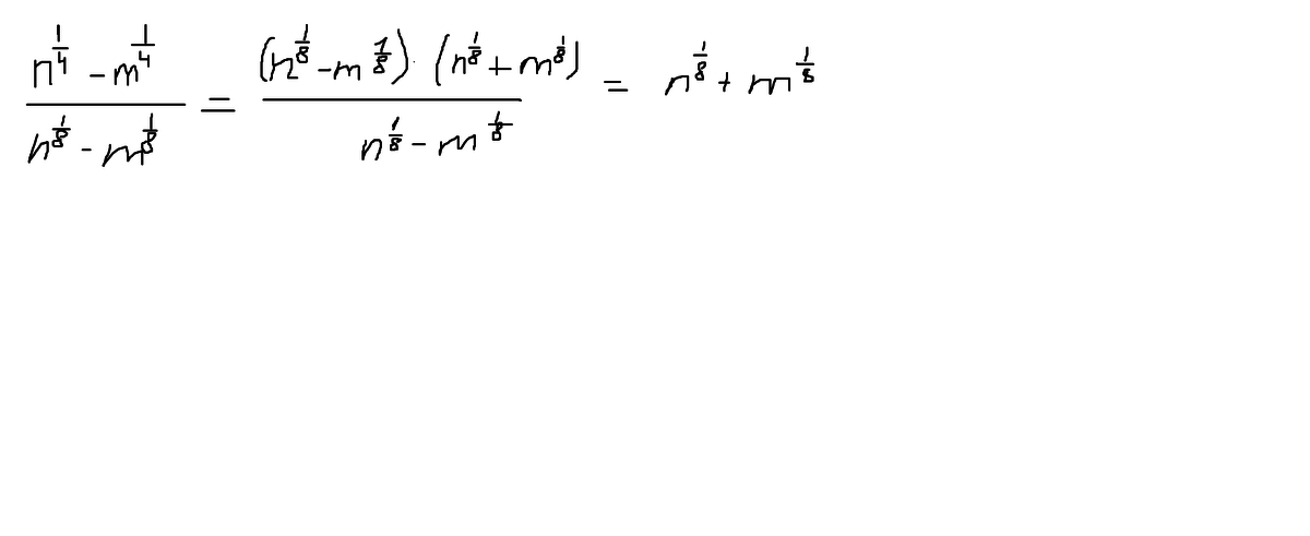
Сократите дробь n*14-m*14 деленное на n*18-m*18

Ответы

Ответ дал: zinowiewa
0
.....................
Приложения:
Вас заинтересует