• Предмет: Математика
  • Автор: asar231
  • Вопрос задан 11 лет назад

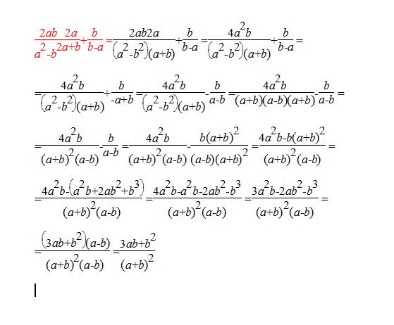
(frac{2ab}{a^{2}-b^{2}})*frac{2a}{a+b}+frac{b}{b-a}

Ответы

Ответ дал: triolana
0

======================================

Приложения:
Вас заинтересует