• Предмет: Алгебра
  • Автор: АнькаНедоступ
  • Вопрос задан 10 лет назад

Здраствуйте, решите уравнение. Задание на картинке

Приложения:

Ответы

Ответ дал: ewgenijbark
0
см. вложение
\\\\\\\\\\
Приложения:
Ответ дал: АнькаНедоступ
0
Спасибо )))
Ответ дал: ewgenijbark
0
Рад помочь)
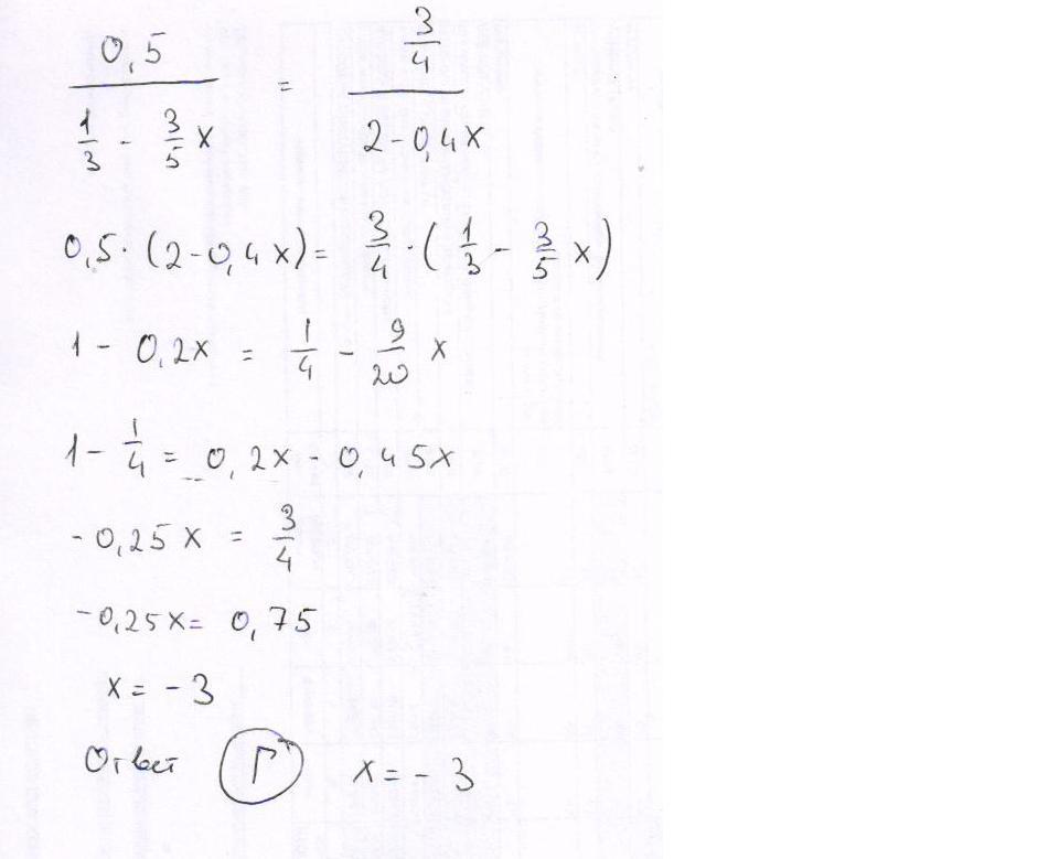
Ответ дал: mefody66
0
Применим пропорцию
1/2*(2 - 0,4x) = 3/4*(1/3 - 0,6x)
1 - 0,2x = 1/4 - 0,45x
0,45x - 0,2x = 0,25 - 1
0,25x = -0,75
x = -3
Приложения:
Ответ дал: АнькаНедоступ
0
спасибо)))
Ответ дал: mefody66
0
Не сговариваясь одинаково решили. Я в решение Ewgenijbark заглянул только после того, как свое написал, а там тоже самое.
Ответ дал: ewgenijbark
0
естественно, это же самый простой способ)
Вас заинтересует