• Предмет: Алгебра
  • Автор: regina12398
  • Вопрос задан 10 лет назад

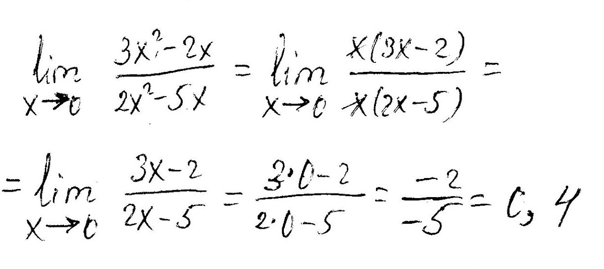
lim когда x->0, 3x^2-2x/2x^2-5x

Ответы

Ответ дал: bearcab
0
Решение в приложении. Должно быть понятно.
Приложения:
Вас заинтересует