• Предмет: Алгебра
  • Автор: SvetSveta
  • Вопрос задан 11 лет назад

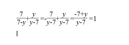
7/(7-y)+y/(y-7) Должно получиться 1, но как???

Ответы

Ответ дал: triolana
0

==================================================

Приложения:
Вас заинтересует