• Предмет: Алгебра
  • Автор: nazym00
  • Вопрос задан 10 лет назад

ПОМОГИТЕ, ПОЖАЛУЙСТА!
Даны первый член a1 и разность d арифметической прогрессии {an}. Найдите an:
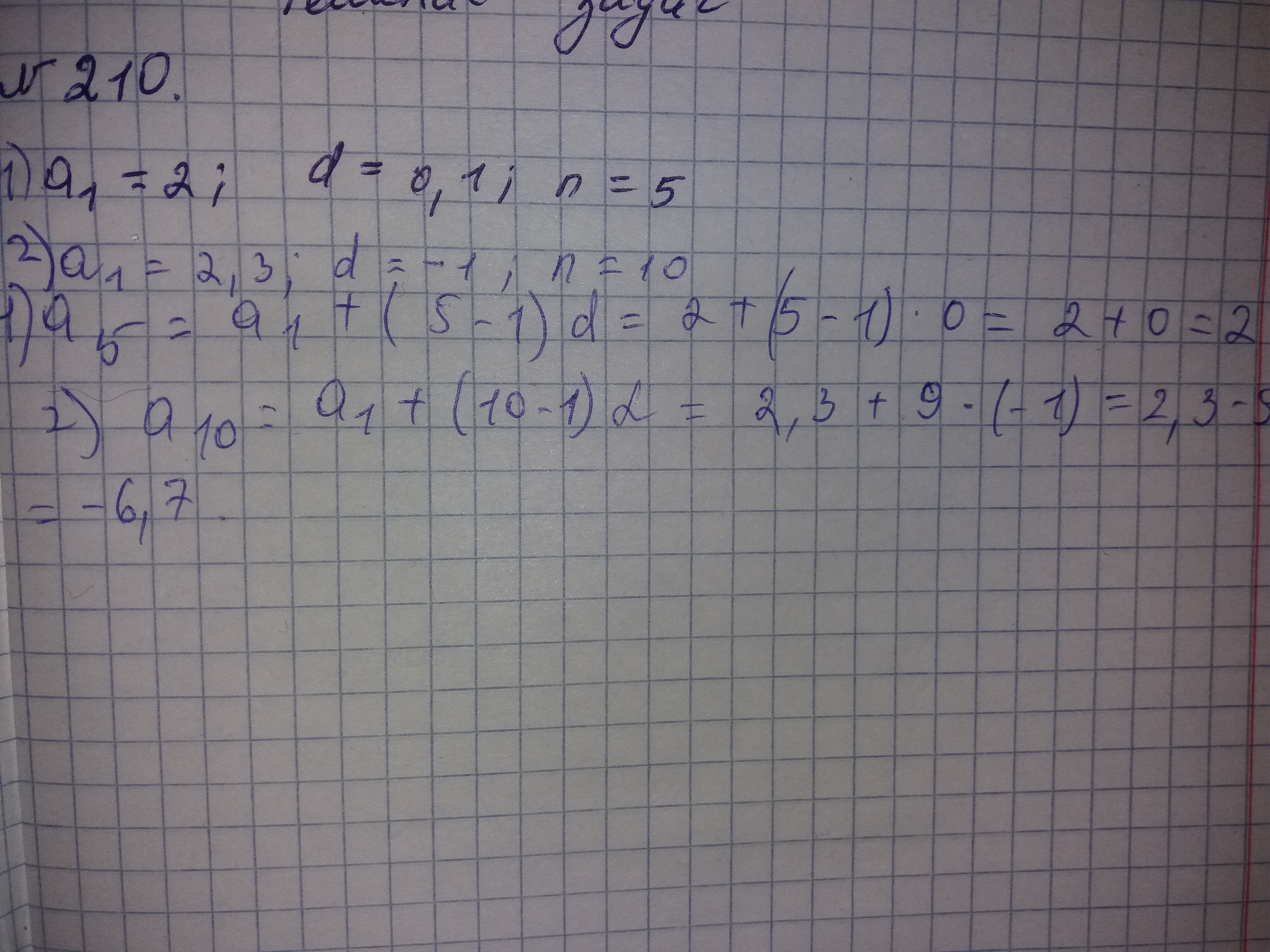
1) a1=2; d=0,1; n=5;
2)a1=2,3;d=-1; n=10;
3)a1=-3; d=0,8; n=16;
4)a1=-1 frac{5}{6} ; d= frac{1}{3} ;n=61.
СРОЧНОООООООООООООООО!!!

Ответы

Ответ дал: BlackPrincess03
0

ответы только 1 и 2 задач.

Приложения:
Вас заинтересует