• Предмет: Математика
  • Автор: bloomo4ka007
  • Вопрос задан 11 лет назад

Очень нужно.пожалуйста.

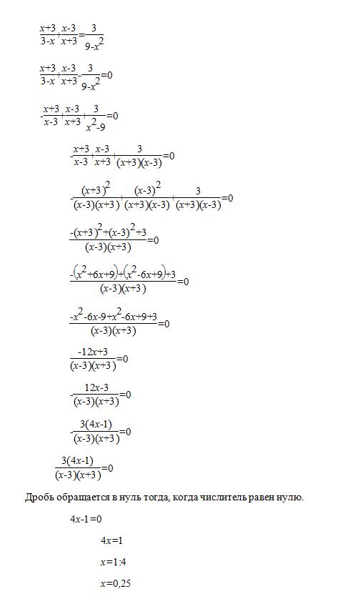
frac{x+3 }{3-x }+ frac{x-3}{X+3} = frac{3}{9-x^2}

 

Ответы

Ответ дал: triolana
0

=========================================================

Приложения:
Вас заинтересует