Ответы
Ответ дал:
0
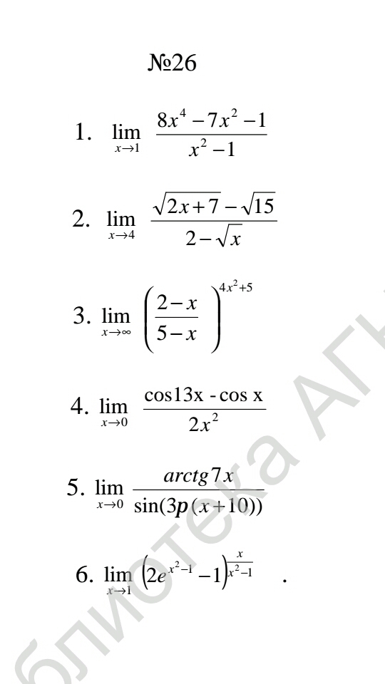
1.
(8x^4-8x²+x²-1)/(x²-1)=(8x²(x²-1) +(x²-1))/(x²-1)=8x²+1
lim x→1=8+1=9
2. (√2x+7-√15)(√2x+7+√15)=2x+7-15=2x-8=2(x-4)=2(√x-2)(√x+2)
[2(√x-2)(√x+2)]/(2-√x)= -2(√x+2) lim x→4=-2·4=-8
(8x^4-8x²+x²-1)/(x²-1)=(8x²(x²-1) +(x²-1))/(x²-1)=8x²+1
lim x→1=8+1=9
2. (√2x+7-√15)(√2x+7+√15)=2x+7-15=2x-8=2(x-4)=2(√x-2)(√x+2)
[2(√x-2)(√x+2)]/(2-√x)= -2(√x+2) lim x→4=-2·4=-8
Вас заинтересует
3 года назад
3 года назад
8 лет назад
10 лет назад
11 лет назад