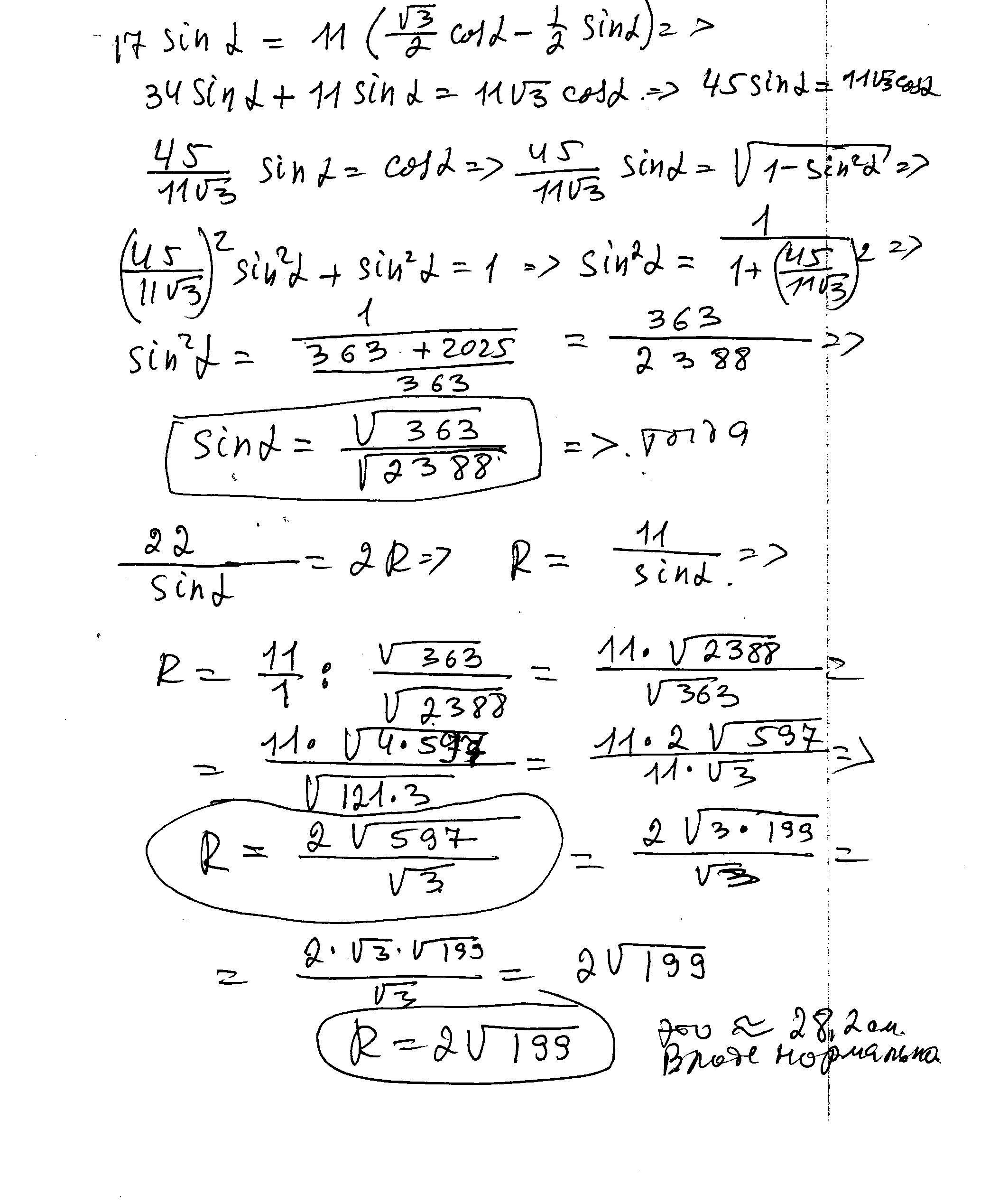
Четырёхугольник ABCD со сторонами AB=34 и CD=22 вписан в
окружность. Диагонали AC и BD пересекаются в точке K , причём ∠AKB=60°
Найдите радиус окружности, описанной около этого четырёхугольника.
Ответы
Ответ дал:
0
Не обращайте внимания на разноцветные бабочки в рисунке, я пытался решить через подобие. Три часа убил. А это решение мне не нравится, но другого не вижу.
Приложения:


Вас заинтересует
2 года назад
2 года назад
7 лет назад
7 лет назад
10 лет назад
10 лет назад
10 лет назад