• Предмет: Алгебра
  • Автор: jetbalanke
  • Вопрос задан 10 лет назад

Решите!!!! Срочно!!!

Приложения:

Ответы

Ответ дал: wangross
0
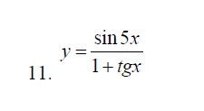
y= frac{sin5x}{1+tgx}  \  \ y'= frac{(sin5x)'*(1+tgx)-(1+tgx)'*sin5x}{(1+tgx)^2} = frac{5cos5x*(1+tgx)- frac{1}{cos^2x}*sin5x }{(1+tgx)^2}
Ответ дал: jetbalanke
0
так и выглядит ответ?
Ответ дал: wangross
0
Не уверена
Вас заинтересует