• Предмет: Алгебра
  • Автор: mileycyrsmoking
  • Вопрос задан 10 лет назад

ааааааааааааааааааааааааваавв

Приложения:

Ответы

Ответ дал: ВладимирБ
0
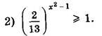
Решение смотри в приложении
Приложения:
Вас заинтересует