• Предмет: Математика
  • Автор: Nika210596
  • Вопрос задан 11 лет назад

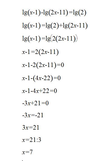
Lg(x-1)-lg(2x-11)=lg2

Ответы

Ответ дал: triolana
0

желательно сверить с ответом

======================================

Приложения:
Вас заинтересует