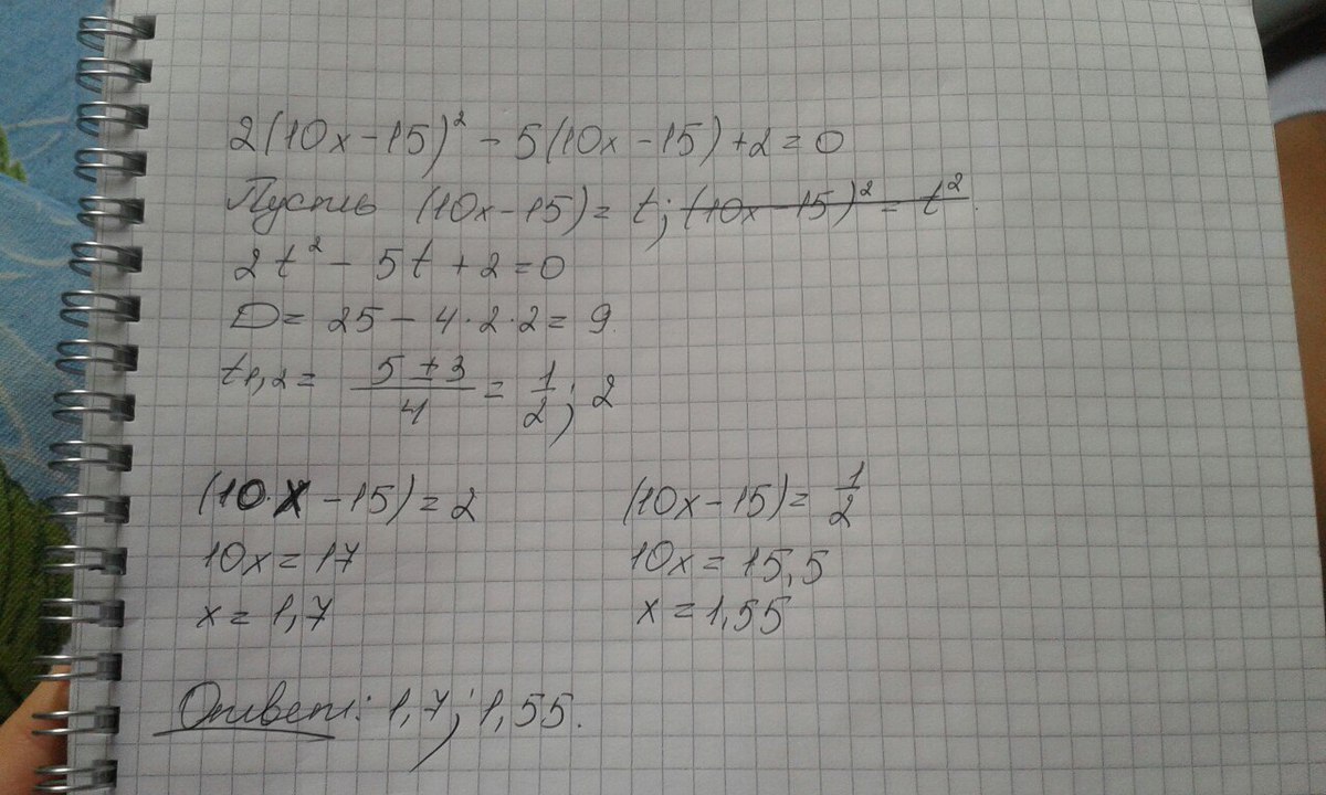
Реши квадратное уравнение 2(10x−15)^2−5(10x−15)+2=0
Какой метод рациональнее использовать в этом выражении ?
1)Разложение на множители
2)Вынесение за скобку
3)Раскрывание скобок
4)Метод введения новой переменной
Ответы
Ответ дал:
0
Какой метод рациональнее использовать в этом выражении?
4) Метод введения новой переменной
4) Метод введения новой переменной
Приложения:

Вас заинтересует
2 года назад
7 лет назад
10 лет назад
10 лет назад
10 лет назад
10 лет назад