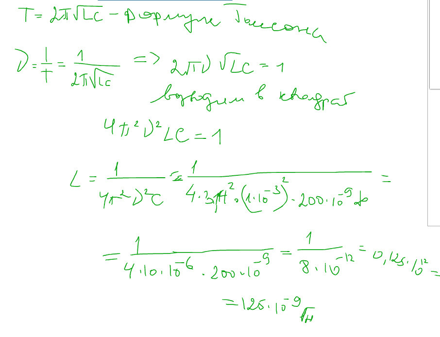
Частота электрических колебаний в контуре равна 1 мгц. Если емкость конденсатора равна 200пф то индуктивность катушки равна?
Ответы
Ответ дал:
0
Ответ в прикрепленном файле
Приложения:
Вас заинтересует
2 года назад
2 года назад
8 лет назад
8 лет назад
10 лет назад
10 лет назад