Ответы
Ответ дал:
0
Решение смотри в приложении
Приложения:

Ответ дал:
0
Владимир,спасибо,выручил
Ответ дал:
0
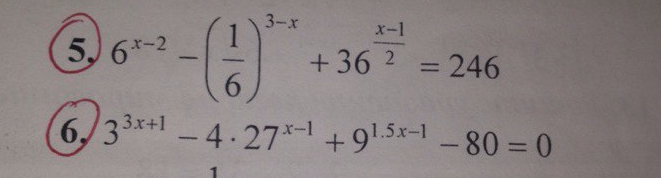
5
6^(x-2)-6^(x-3)+6^(x-1)=246
6^(x-3)*(6-1+36)=246
6^(x-3)*41=246
6^(x-3)=246:41
6^(x-3)=6
x-3=1
x=4
6
3^(3x+1)-4*3^(3x-3)+3^(3x-2)=80
3^(3x-3)^(81-4+3)=80
3^(x-3)*80=80
3^(3x-3)=1
3x-3=0
3x=3
x=1
6^(x-2)-6^(x-3)+6^(x-1)=246
6^(x-3)*(6-1+36)=246
6^(x-3)*41=246
6^(x-3)=246:41
6^(x-3)=6
x-3=1
x=4
6
3^(3x+1)-4*3^(3x-3)+3^(3x-2)=80
3^(3x-3)^(81-4+3)=80
3^(x-3)*80=80
3^(3x-3)=1
3x-3=0
3x=3
x=1
Приложения:

Вас заинтересует
2 года назад
7 лет назад
7 лет назад
10 лет назад
10 лет назад