• Предмет: Геометрия
  • Автор: Alina2and3Nastena
  • Вопрос задан 11 лет назад

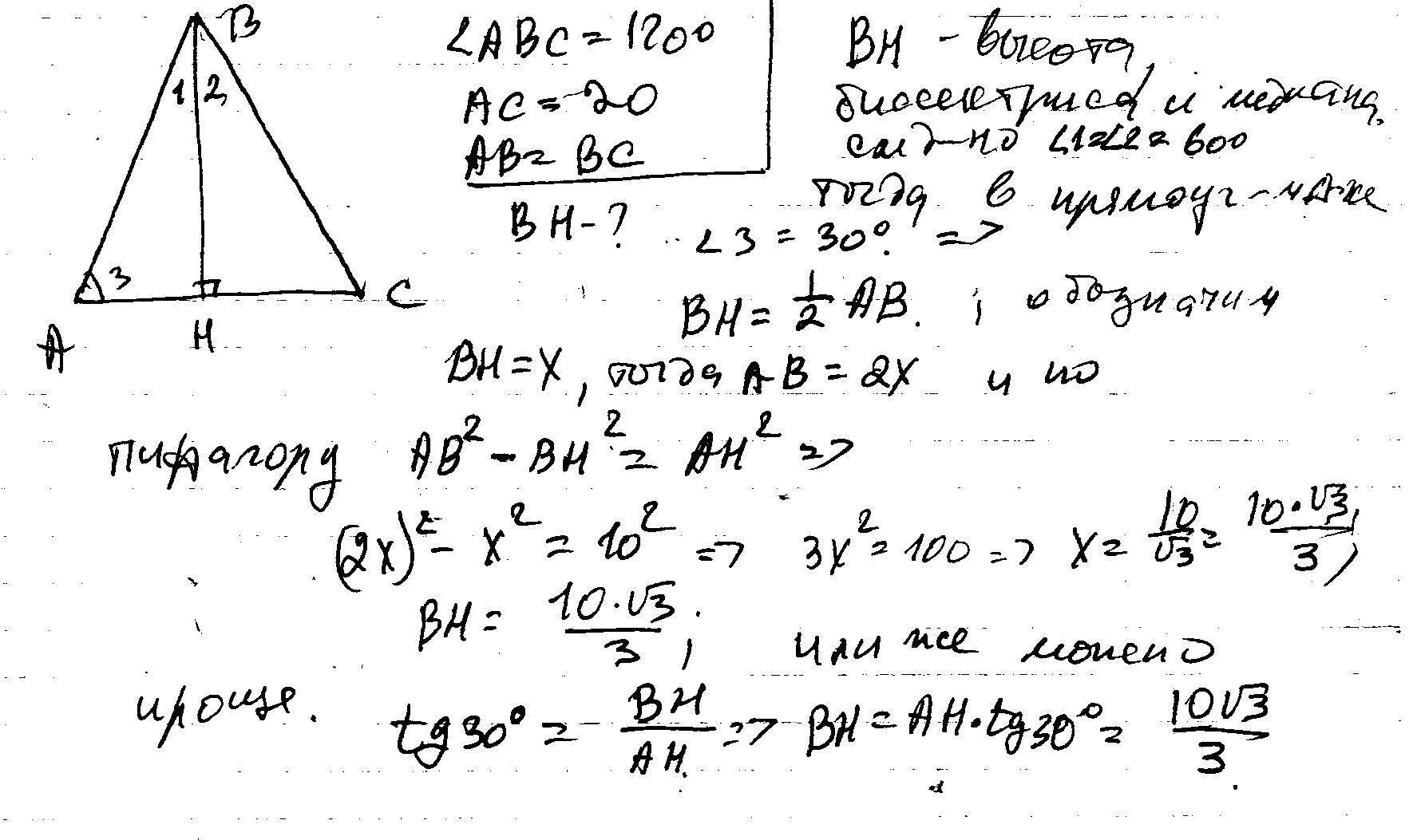
В равнобедренном треугольнике основание равно 20, а угол между боковыми сторонами равен 120 градусам;. Найдите высоту, проведённую к основанию

Ответы

Ответ дал: ужнеужели
0
В равнобедренном треугольнике основание равно 20, а угол между боковыми сторонами равен 120 градусам;. Найдите высоту, проведённую к основанию
Приложения:
Вас заинтересует