• Предмет: Математика
  • Автор: ангелиночка08
  • Вопрос задан 10 лет назад

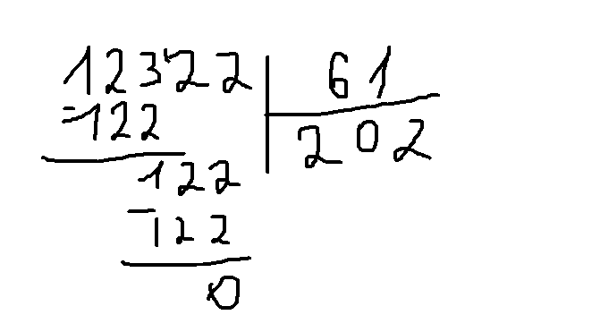
12322:61решите в столбик

Ответы

Ответ дал: MrFazan
0
как то так. Дерзай. Совет тебе: лучше научись делать сам(а)
Приложения:
Ответ дал: ivan35567
0
12322 |61
122     |202
  _12
       0 
   _122
     122
         0
Ответ:202
Приложения:
Ответ дал: Беллюшка
0
КАКЖЕЭТОИЗИИИИИИИИИИИ
Ответ дал: ivan35567
0
ну меня попросили столбиком я и сделал))))
Ответ дал: ангелиночка08
0
спасибо большое но я уже сама решила!!!!!!!!!!!!
Вас заинтересует