Ответы
Ответ дал:
0
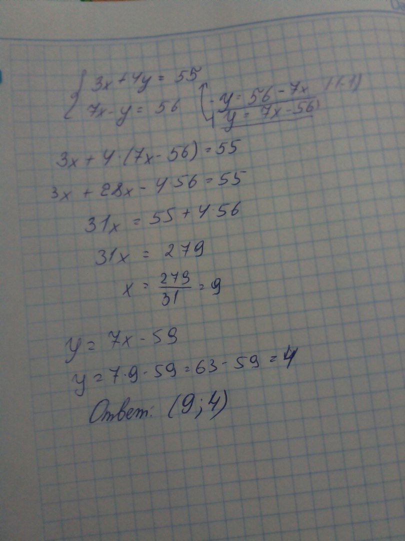
Смотри на фото, должно быть понятно)
Приложения:

Ответ дал:
0
спс
Ответ дал:
0
ага)
Ответ дал:
0
реши второе
Ответ дал:
0
какое?
Вас заинтересует
2 года назад
7 лет назад
7 лет назад
10 лет назад
10 лет назад