Прошу, помогите! Вычислить и упростить логарифмы, два задания. Буду очень благодарна ^^
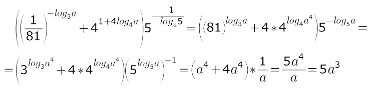
Приложения:

Ответы
Ответ дал:
0
хорошие примеры!!
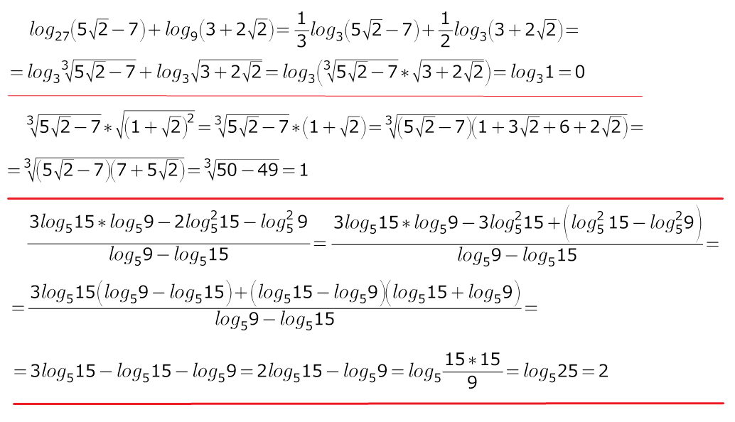
о том, что логарифмы --- это просто "числа" и
их тоже можно группировать и выносить за скобку)))
в первом примере, конечно же, не легко догадаться, что под кубическим корнем полный куб, но под квадратным корнем всегда нужно "искать" полный квадрат... а для логарифмов всегда цель ---привести их к одному основанию)))
во втором примере можно, конечно, уйти к логарифму числа 3 и числа 5,
но это длинно получится... лучше, глядя на квадраты, вспомнить формулу "разность квадратов"---подсказка в знаменателе)))
о том, что логарифмы --- это просто "числа" и
их тоже можно группировать и выносить за скобку)))
в первом примере, конечно же, не легко догадаться, что под кубическим корнем полный куб, но под квадратным корнем всегда нужно "искать" полный квадрат... а для логарифмов всегда цель ---привести их к одному основанию)))
во втором примере можно, конечно, уйти к логарифму числа 3 и числа 5,
но это длинно получится... лучше, глядя на квадраты, вспомнить формулу "разность квадратов"---подсказка в знаменателе)))
Приложения:


Ответ дал:
0
Большое спасибо за такой подробный ответ!
Ответ дал:
0
на здоровье!!
Вас заинтересует
2 года назад
2 года назад
7 лет назад
10 лет назад
10 лет назад