• Предмет: Алгебра
  • Автор: Громова203
  • Вопрос задан 10 лет назад

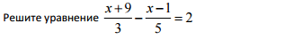
Помогите решить уравнение

Приложения:

Ответы

Ответ дал: Riemann
0
 frac{ x+9^{(5} }{3}- frac{ x-1^{(3} }{5}= frac{ 2^{(15} }{1}

 frac{5x+45}{15}- frac{3x-3}{15}= frac{30}{15}

5x+45-(3x-3)=30
5x+45-3x+3=30
5x-3x=30-45-3
2x=-18
x=(-18):2
x=-9
Вас заинтересует