Автобус массой 10т, трогаясь с места, развивает силу тяги 9кН. Через какое время он разгонится до скорости 50 км/ч, если сила сопротивления движению составляет 0,06 силы нормальной реакции со стороны дороги
Ответы
Ответ дал:
0
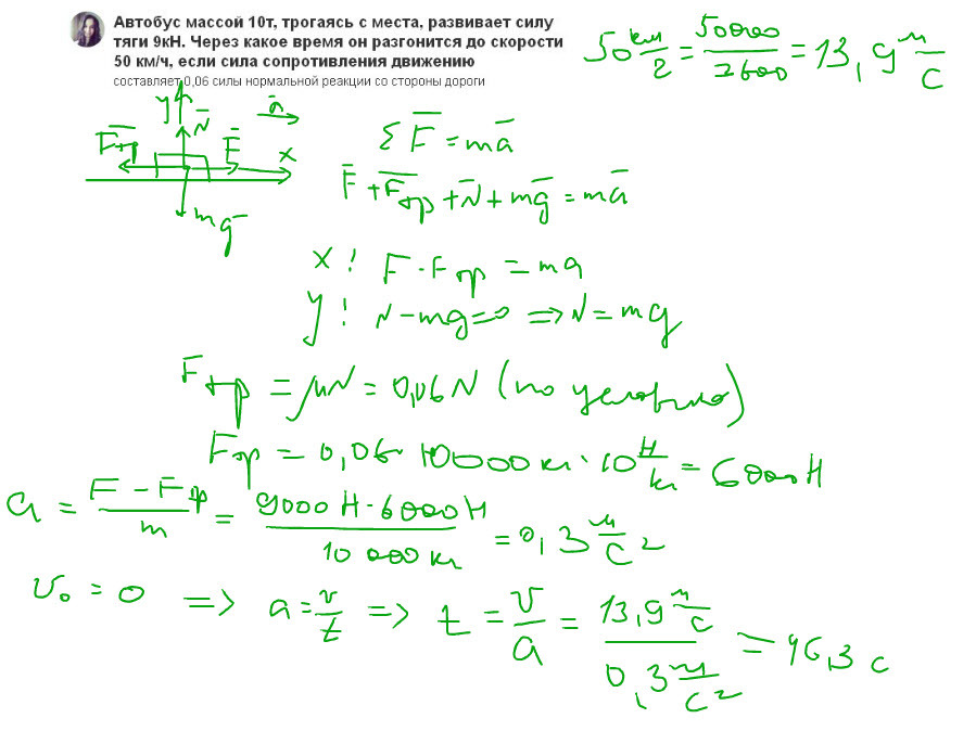
Ответ в прикрепленном файле
Приложения:
Ответ дал:
0
Спасибо!)
Ответ дал:
0
Дано m=10 000 кг Fтяг=9000 Н V=50 км/ч=50*1000/3600=13,9 м/с
k=0,06 t- ?
Fтяг-Fтр=m*a
a=(Fтяг-k*m*g)/m=(9000-0,06*10000*10)/10000=0,3 м/с2
t=V/a=13,9/0,3=46,33 с
k=0,06 t- ?
Fтяг-Fтр=m*a
a=(Fтяг-k*m*g)/m=(9000-0,06*10000*10)/10000=0,3 м/с2
t=V/a=13,9/0,3=46,33 с
Приложения:
Вас заинтересует
3 года назад
8 лет назад
8 лет назад
10 лет назад
11 лет назад