Ответы
Ответ дал:
0
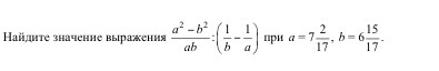
a²-b²ab:(1b-1a)=(a-b)(a+b)ab:(a-b)ab=(a-b)(a+b)ab*ab(a-b)=(a+b)
a+b=7 217+ 6 1517=12117+11717=121+11717=23817=14
a+b=7 217+ 6 1517=12117+11717=121+11717=23817=14
Вас заинтересует
3 года назад
3 года назад
8 лет назад
10 лет назад
10 лет назад
11 лет назад