• Предмет: Алгебра
  • Автор: fedemila
  • Вопрос задан 10 лет назад

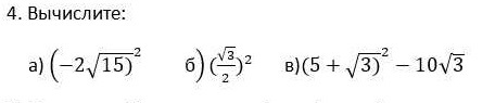
помогите мне с алгеброй пжааласта))) фото ниже

Приложения:

Ответы

Ответ дал: ВладимирБ
0
Решение смотри в приложении
Приложения:
Ответ дал: andrisd
0
(-2√15)²=4*15=60
(√3/2)²=3/4=0.75
(5+√3)²-10√3=(5+√3)(5+√3)-10√3=25+5√3+5√3+3-10√3=25+3=28
Приложения:
Вас заинтересует