Ответы
Ответ дал:
0
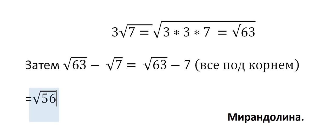
Вот, лови, смотри во вложении
Приложения:

Ответ дал:
0
а почему мы 3 в квадрат возводим?
Вас заинтересует
2 года назад
2 года назад
7 лет назад
10 лет назад
10 лет назад