• Предмет: Алгебра
  • Автор: vikaryzhenkova2
  • Вопрос задан 10 лет назад

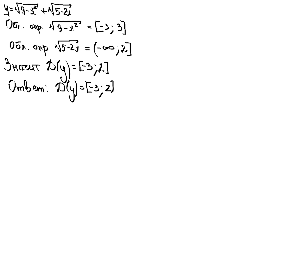
Найдите область определения функции: У= √9-х2+√5-2х.

Ответы

Ответ дал: nikyl9niki
0
y= sqrt{9} - x^{2} + sqrt{5} -2x \ D(f)= (-∞;+∞)
Ответ дал: vikaryzhenkova2
0
а где объяснение
Ответ дал: oOlDarknesslOo
0
Ответ: [3:2). Извини, напутал со скобками
Приложения:
Вас заинтересует