Ответы
Ответ дал:
0
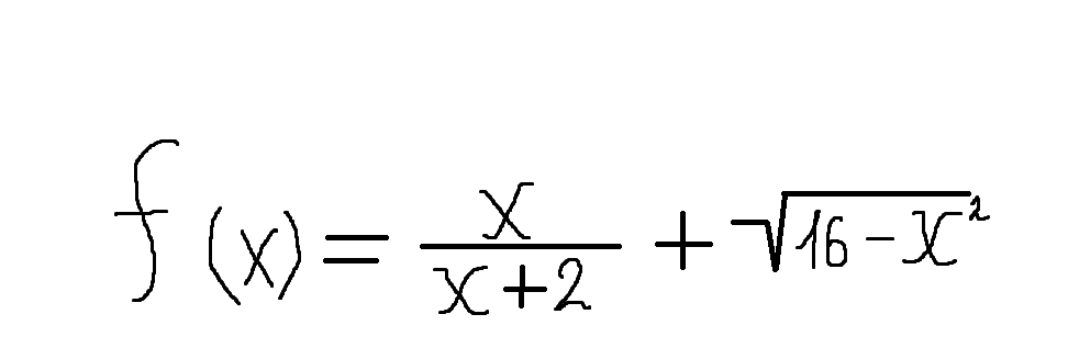
Для начала ОДЗ(область значений функций) : х ≠ -2(т.к знаменатель не может равняться 0)
Выражение, стоящее под знаком корня, должно быть больше либо равно 0,
т.е 16-х² >=(это больше либо равно) 0
16>=x²
х<=(меньше либо равно)4
Значит, область определения функции: D(f)=(-∞;-2)U(-2:4]
Если что-то не понятно, спрашивай:)
Выражение, стоящее под знаком корня, должно быть больше либо равно 0,
т.е 16-х² >=(это больше либо равно) 0
16>=x²
х<=(меньше либо равно)4
Значит, область определения функции: D(f)=(-∞;-2)U(-2:4]
Если что-то не понятно, спрашивай:)
Ответ дал:
0
Спасибо. Но я саму схему решения никак не прострою...
Ответ дал:
0
Не знаешь, как находить вообще область определения? напиши в лс
Вас заинтересует
2 года назад
2 года назад
8 лет назад
10 лет назад
10 лет назад
10 лет назад