Помогите пожалуйста !!!
Очень надо !!!два номера ,во втором буквы б,в,г ,помогите пожалуйста !!!
Приложения:
Ответы
Ответ дал:
0
№1
x=0 y=0
x=1 y=1
x=2 y=16
x=3 y= 81
x=0.5 y=0.0625
x=1/3 y=1/81
x=0.25 y=0.00390625
x=1.5 y=5.0625
№2
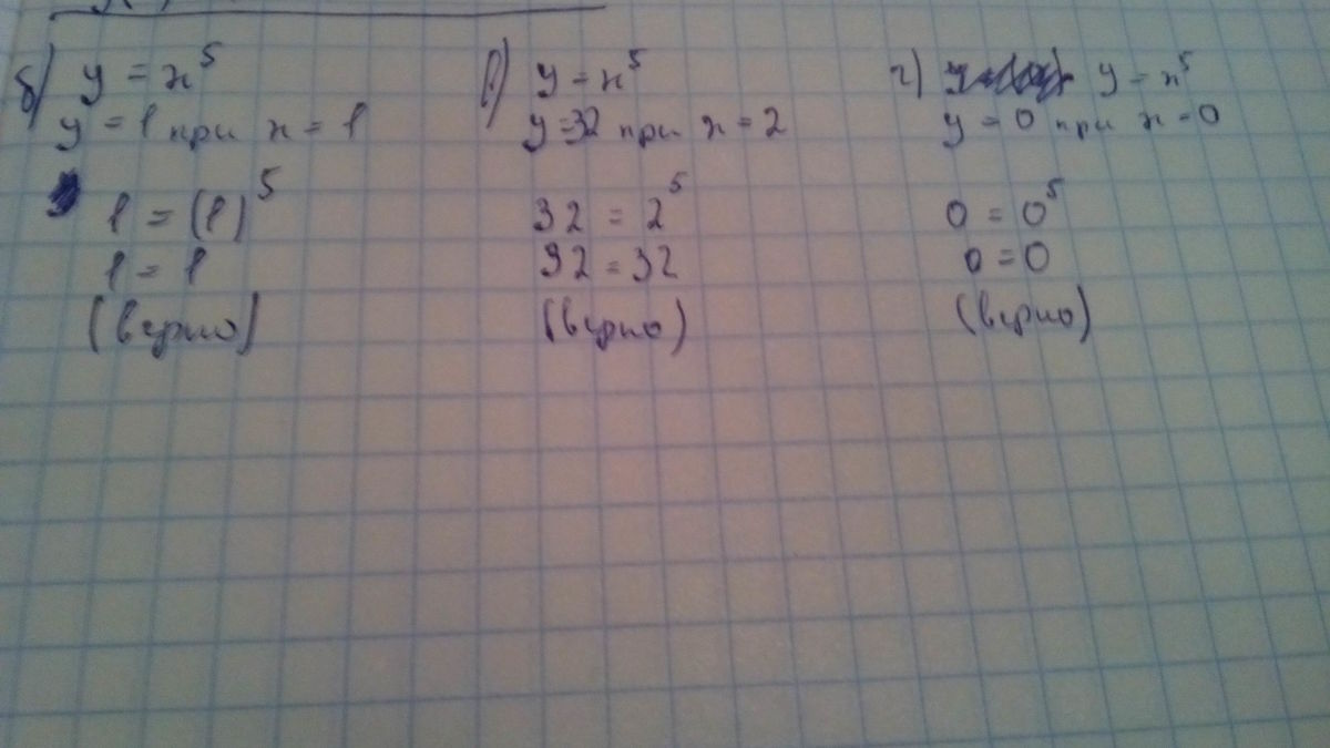
б) Верно
в) Верно
г) Верно
x=0 y=0
x=1 y=1
x=2 y=16
x=3 y= 81
x=0.5 y=0.0625
x=1/3 y=1/81
x=0.25 y=0.00390625
x=1.5 y=5.0625
№2
б) Верно
в) Верно
г) Верно
Ответ дал:
0
спасибо большое )
Ответ дал:
0
Решение второго, если нужно
Приложения:
Ответ дал:
0
спасибо большое )
Вас заинтересует
3 года назад
8 лет назад
10 лет назад
10 лет назад
11 лет назад