Ответы
Ответ дал:
0
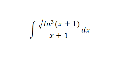
t=x+1,dt=dx
Sln³(x+1)dx/(x+1)=Sln³tdt/t
u=lnt.du=dt/t
Sln³(x+1)dx/(x+1)=Sln³tdt=Su³du=1/4*u^4=1/4*ln^4t=1/4*ln^4(x+1)+C
Sln³(x+1)dx/(x+1)=Sln³tdt/t
u=lnt.du=dt/t
Sln³(x+1)dx/(x+1)=Sln³tdt=Su³du=1/4*u^4=1/4*ln^4t=1/4*ln^4(x+1)+C
Вас заинтересует
3 года назад
8 лет назад
8 лет назад
10 лет назад
11 лет назад