• Предмет: Алгебра
  • Автор: AleksandrDetsuk17
  • Вопрос задан 10 лет назад

Помогите с решением.
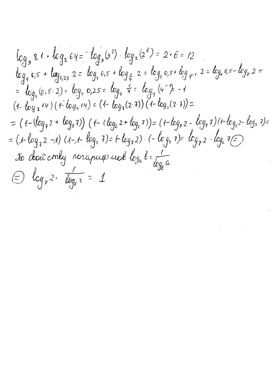
(log9 81)*(log2 64)
log4 0.5 + log0.25 2
(1-log7 14)(1-log2 14)

Ответы

Ответ дал: bearcab
0
Решение в приложении. Должно быть понятно.
Приложения:
Вас заинтересует