• Предмет: Алгебра
  • Автор: PolinaOsepenko
  • Вопрос задан 10 лет назад

Решите систему уравнений методом подстановки

Приложения:

Ответы

Ответ дал: miron2077
0
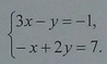
3х-у=-1
-х+2у=7
у=3х+1 (из первого уравнения)
-х+6х+2=7
5х=5
х=1
у=3+1=4

Вас заинтересует