Ответы
Ответ дал:
0
Вот, держи
Я думаю не стоит объяснять, все примитивно.
Я думаю не стоит объяснять, все примитивно.
Приложения:
Ответ дал:
0
Там изображение с решением
Ответ дал:
0
да
Ответ дал:
0
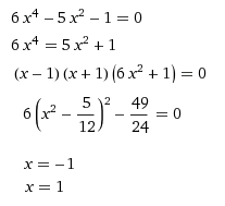
6х'4-5х'2-1=0
Пусть х'2=м; тогда уравнение принимает вид:
6м'2-5м-1=0
D=b'2-4ac=25+24=49
M=1 ili m=-1/6
Обратная замена
Х'2=1 или х'2=-1/6 (корней нет)
Х =1 или х=-1
Пусть х'2=м; тогда уравнение принимает вид:
6м'2-5м-1=0
D=b'2-4ac=25+24=49
M=1 ili m=-1/6
Обратная замена
Х'2=1 или х'2=-1/6 (корней нет)
Х =1 или х=-1
Приложения:
Вас заинтересует
3 года назад
3 года назад
10 лет назад
10 лет назад
11 лет назад