Ответы
Ответ дал:
0
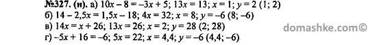
y=10x-8
y=-3x+5
10x-8=-3x+5
13x=13
x=1
y=10*1-8=2 или у=-3*1+5=2
полученный х просто подставили в одну из частей выражения и решили. остальные примеры аналогично
y=-3x+5
10x-8=-3x+5
13x=13
x=1
y=10*1-8=2 или у=-3*1+5=2
полученный х просто подставили в одну из частей выражения и решили. остальные примеры аналогично
Ответ дал:
0
спасибо)
Вас заинтересует
3 года назад
3 года назад
8 лет назад
8 лет назад
10 лет назад
10 лет назад
11 лет назад