Ответы
                                            Ответ дал: 
                                                                                    
                                        
                                            
                                                
                                                
                                                
                                                    0
                                                
                                            
                                        
                                    
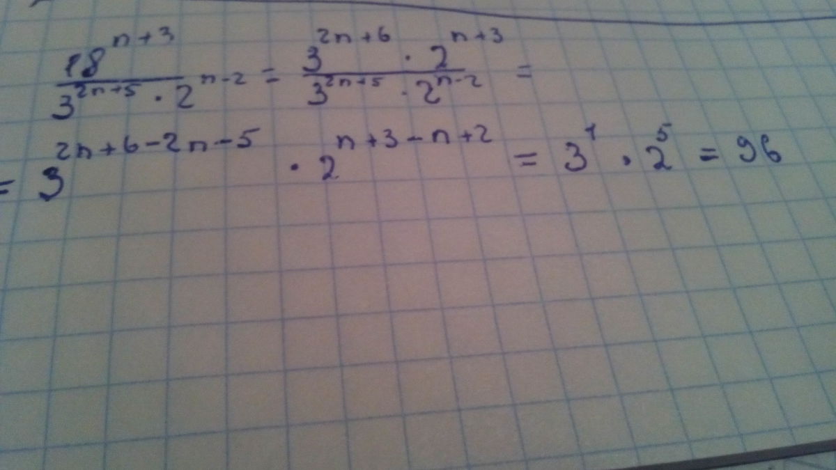
                                        числитель=18^(n+3) = (9·2)^(n+3) =( 3²·2)^(n+3)=
=3^2(n+3)·2^(n+3)=3^(2n+6)·2^(n+3)
знаменатель = 3^(2n+5)·2^(n-2)
При делении основание оставляем прежним, а показатели вычитаем
Ответ: 3^1·2^5=3·32= 96
                                        
                                        
                                =3^2(n+3)·2^(n+3)=3^(2n+6)·2^(n+3)
знаменатель = 3^(2n+5)·2^(n-2)
При делении основание оставляем прежним, а показатели вычитаем
Ответ: 3^1·2^5=3·32= 96
                                            Ответ дал: 
                                                                                    
                                        
                                            
                                                
                                                
                                                
                                                    0
                                                
                                            
                                        
                                    
                                        Если нужен вариант решения на фото
                                    
                                                Приложения:
                    
                            Вас заинтересует
                
                        2 года назад
                    
                
                        2 года назад
                    
                
                        7 лет назад
                    
                
                        10 лет назад
                    
                
                        10 лет назад
                    
                
                        10 лет назад