Не проходите мимо, пожалуйста!
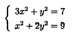
Решите методом алгебраического сложения систему уравнений:
Приложения:

Ответы
Ответ дал:
0
3х'2+у'2=7 |•(-2)
Х'2+2у'2=0
Умножаем первое уравнение на -2
-6х'2-2у'2=-14
Х'2+2у'2=9
Складываем
-5х'2=-5
Х'2=1
Х=1 или х=-1
Создаем две системы которые объединенные одной общой квадратной скобкой
Х=1
У=2 и у=-2
Х=-1
У=2 и -2
Х'2+2у'2=0
Умножаем первое уравнение на -2
-6х'2-2у'2=-14
Х'2+2у'2=9
Складываем
-5х'2=-5
Х'2=1
Х=1 или х=-1
Создаем две системы которые объединенные одной общой квадратной скобкой
Х=1
У=2 и у=-2
Х=-1
У=2 и -2
Вас заинтересует
2 года назад
7 лет назад
7 лет назад
10 лет назад
10 лет назад
10 лет назад