Ответы
Ответ дал:
0
Решение смотри в приложении
Приложения:


Ответ дал:
0
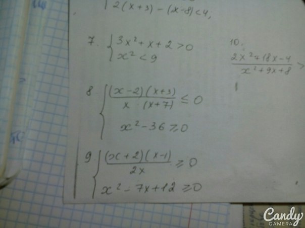
8
(x-2)(x+3)/x(x+7)≤0
x=2 x=-3 x=0 x=-7
+ _ + _ +
-------------(-7)-------------[-3]-------------(0)--------------[2]-------------------
-7<x≤-3 U 0<x≤2
x²-36≥0⇒(x-6)(x+6)≥0
x=6 x=-6
+ _ +
------[-6]------[6]--------
x≤-6 U x≥6
x∈(-7;-6]
9
(x+2)(x-1)/2x≥0
x=-2 x=1 x=0
_ + _ +
-----------[-2]-----------(0)------------[1]-------------------------
-2≤x<0 U x≥1
x²-7x+12≥0
x1+x2=7 U x18x2=12⇒x1=3 U x2=4
+ _ +
------[3]---------[4]--------
x≤3 U x≥4
x∈[-2;0) U [1;3] U [4;∞)
(x-2)(x+3)/x(x+7)≤0
x=2 x=-3 x=0 x=-7
+ _ + _ +
-------------(-7)-------------[-3]-------------(0)--------------[2]-------------------
-7<x≤-3 U 0<x≤2
x²-36≥0⇒(x-6)(x+6)≥0
x=6 x=-6
+ _ +
------[-6]------[6]--------
x≤-6 U x≥6
x∈(-7;-6]
9
(x+2)(x-1)/2x≥0
x=-2 x=1 x=0
_ + _ +
-----------[-2]-----------(0)------------[1]-------------------------
-2≤x<0 U x≥1
x²-7x+12≥0
x1+x2=7 U x18x2=12⇒x1=3 U x2=4
+ _ +
------[3]---------[4]--------
x≤3 U x≥4
x∈[-2;0) U [1;3] U [4;∞)
Приложения:


Вас заинтересует
2 года назад
2 года назад
7 лет назад
10 лет назад
10 лет назад
10 лет назад