Ответы
Ответ дал:
0
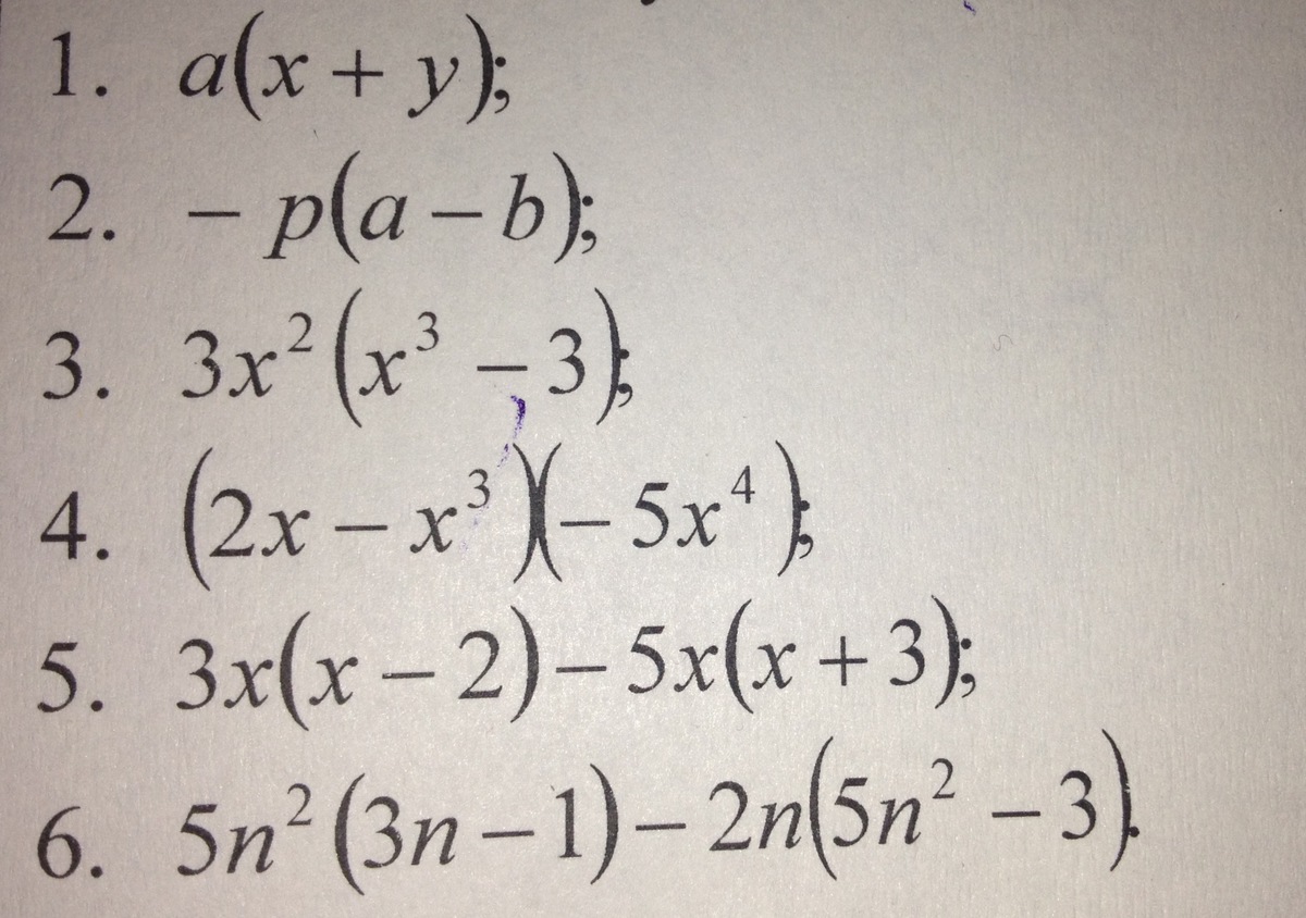
1. Ax+ay
2. -pa+pb
3. 3x^5- 9x^2
4. -10x^4+ 5x^7
5. 3x^2-6-5x^2-15=-2x^2-21
6. 15n^2-5n^2 -10n^2+6n= 6n
2. -pa+pb
3. 3x^5- 9x^2
4. -10x^4+ 5x^7
5. 3x^2-6-5x^2-15=-2x^2-21
6. 15n^2-5n^2 -10n^2+6n= 6n
Ответ дал:
0
^ обозначает степень?
Ответ дал:
0
да
Вас заинтересует
3 года назад
3 года назад
8 лет назад
8 лет назад
10 лет назад
10 лет назад
11 лет назад
11 лет назад