Ответы
Ответ дал:
0
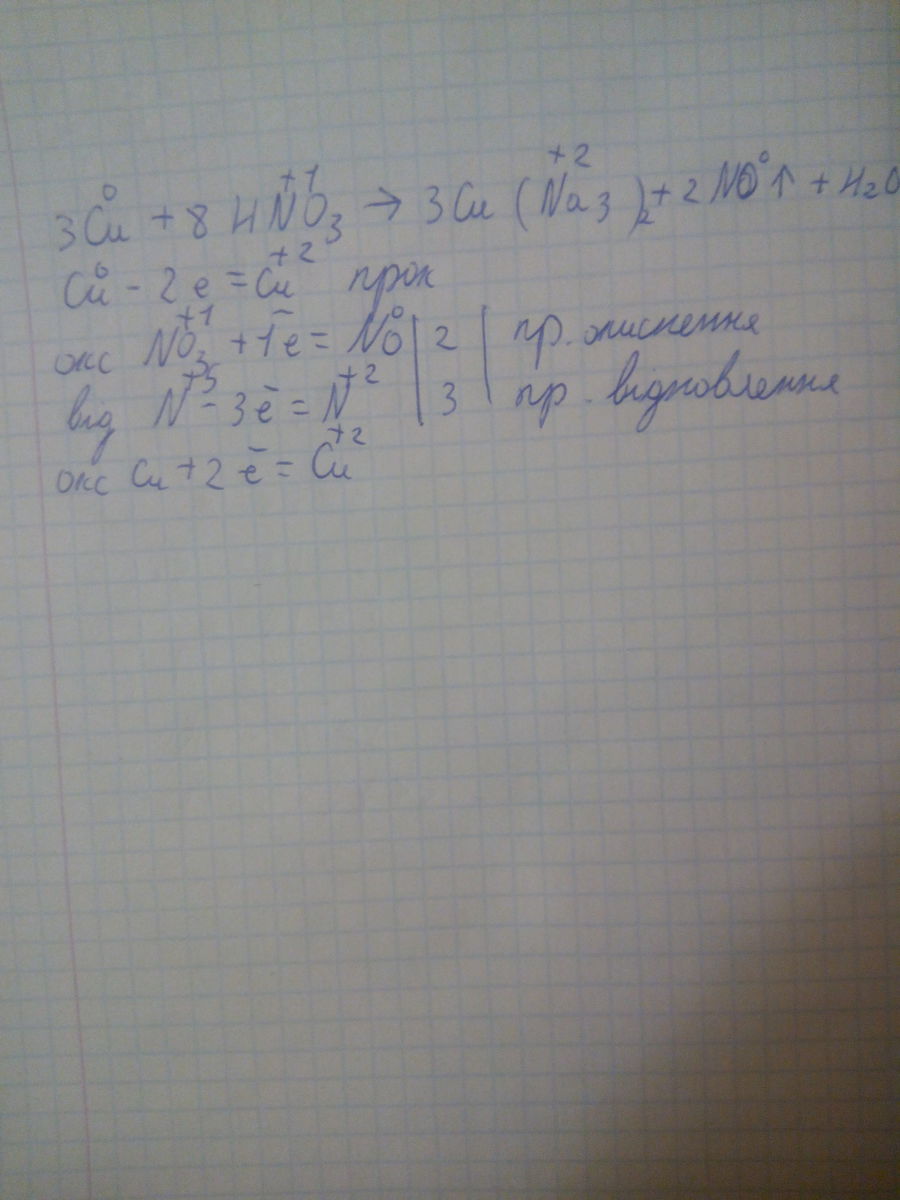
Сu + HNO3 -----> Cu(NO3)2 + NO + H2O
Cu(0) - 2e = Cu(+2) | 3 процесс окисления
N(+5) - 3e = N(+2) | 2 процесс восстановления
Cu(0) - восстановитель
N(+5) - окислитель
3Сu + 8HNO3 = 3Cu(NO3)2 + 2NO + 4H2O
Cu(0) - 2e = Cu(+2) | 3 процесс окисления
N(+5) - 3e = N(+2) | 2 процесс восстановления
Cu(0) - восстановитель
N(+5) - окислитель
3Сu + 8HNO3 = 3Cu(NO3)2 + 2NO + 4H2O
Вас заинтересует
3 года назад
3 года назад
8 лет назад
10 лет назад
10 лет назад
11 лет назад