Ответы
Ответ дал:
0
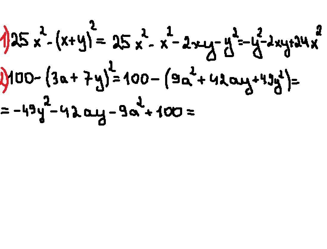
проверь знаки двух последних примеров.
Приложения:

Вас заинтересует
2 года назад
8 лет назад
8 лет назад
10 лет назад
10 лет назад
10 лет назад