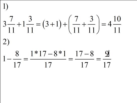
а)найдите число которе на 1 целую 311 больше 3 целых 711 б)найдите число которое на 817 менише 1
Ответы
Ответ дал:
0
=========================================
Приложения:

Вас заинтересует
2 года назад
8 лет назад
8 лет назад
10 лет назад
10 лет назад
10 лет назад
10 лет назад