Ответы
Ответ дал:
0
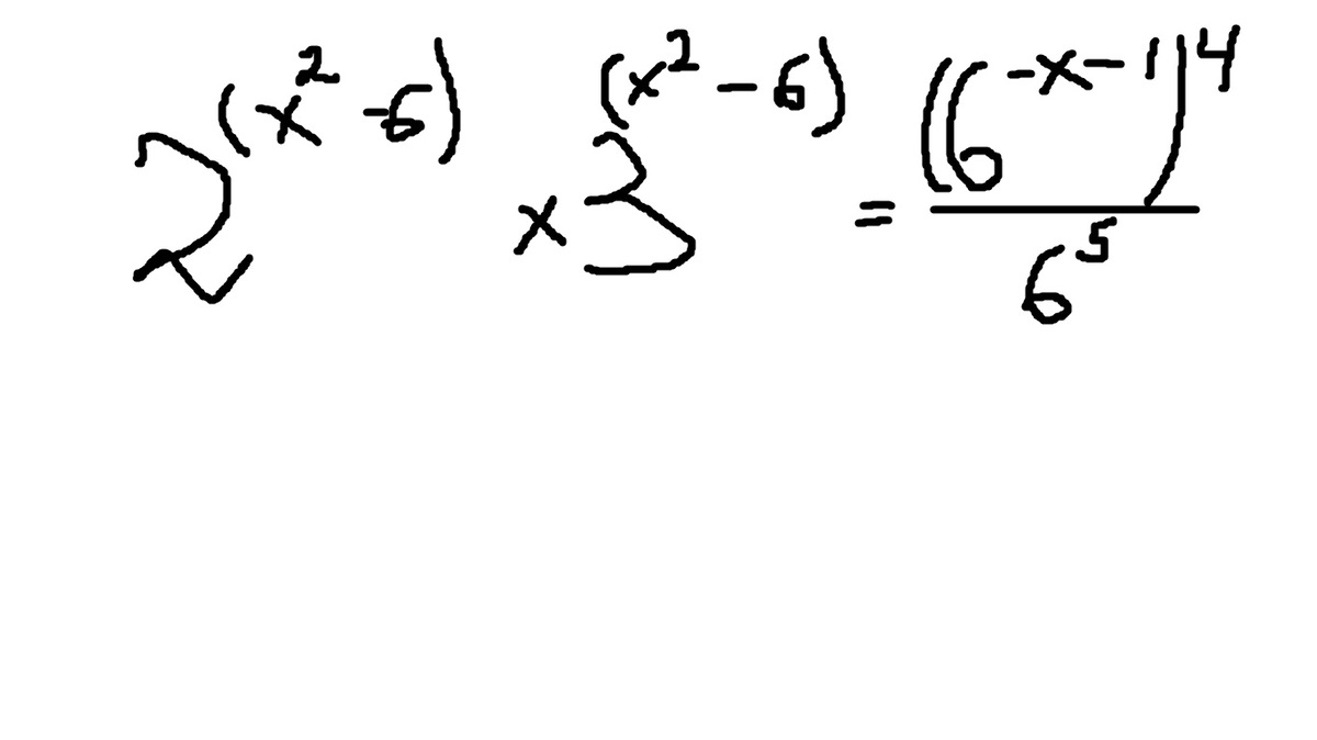
2^(x^2 - 6) * 3^(x^2 - 6) = 6^(-x - 1)^4 / 6^5;
(2*3)^(x^2 - 6) = 6^(- 4x - 4) * 6^(-5);
6^(x^2 - 6) = 6^(-4x - 4 - 5);
6^(x^2 - 6) = 6^(-4x - 9);
x^2 - 6 = - 4x - 9;
x^2 + 4x + 3 = 0;
D = 16 - 12 = 4= 2^2;
x1 = (- 4 + 2) /2 = - 1.
x2 = (- 4 - 2) /2 = - 3
(2*3)^(x^2 - 6) = 6^(- 4x - 4) * 6^(-5);
6^(x^2 - 6) = 6^(-4x - 4 - 5);
6^(x^2 - 6) = 6^(-4x - 9);
x^2 - 6 = - 4x - 9;
x^2 + 4x + 3 = 0;
D = 16 - 12 = 4= 2^2;
x1 = (- 4 + 2) /2 = - 1.
x2 = (- 4 - 2) /2 = - 3
Вас заинтересует
3 года назад
3 года назад
8 лет назад
8 лет назад
10 лет назад
10 лет назад
11 лет назад